注册 |登录

广西族谱文化网gzpwh.com畅谈族谱文化李氏族谱资料区 › 查看主题

7918

查看

1

回复
返回列表

Rank: 8Rank: 8Rank: 8Rank: 8Rank: 8Rank: 8Rank: 8Rank: 8

go

[转载]李氏宗谱[陇西堂]大李庄西门支来历及排辈

楼主
发表于 2012-10-21 15:19 | 只看该作者 | 倒序看帖 | 打印
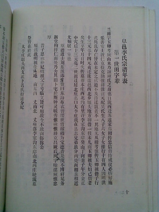
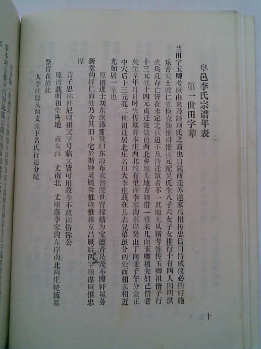
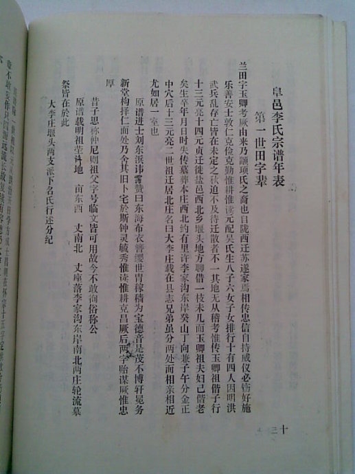
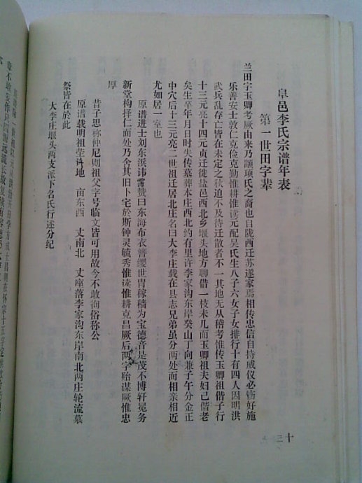
  公讳蓝田字玉卿(夫)自宋末两浙制置使讳庭芝么后裔,本籍苏州阊门人。明洪武赶散,蓝田公率十三子元亮,十四子元贞,出苏州阊门来堰头落户,不久元亮公分居丁湾,后得名大李庄。至清雍正十年新设阜宁县,而二公后裔被界分数处。大李庄一支分四门,以五世祖治河,治山为南门,治身为东门,治爽为西门,治德为北门。

一世[兰田字玉卿]二世[元亮,元贞]三世[从周,从宜,从璧,从洋,从琤,从和]四世[洪]五世[治爽]

大李庄西门支

四世[洪源]五世[治爽]六世[开学,开翼]七世[日]八世[学]九世[方]十世[成]十一世[士]十二世[昌]十三世[朝]十四世[步,在]十五世[怀,恒]十六世[宗]十七世[有]十八世[容]十九世[德]二十世[乃]二十一世[大]二十二世[存]二十三世[仁]二十四世[心]

有的世谒会使用很多字--(有音同,字不同,但辈份都是一样的,也有分支用的字不一样,但辈份都是一样的,还有一种情况就是不同辈份用的字一样的,是毎个地方用字前后顺序颠倒,请注意,辈份是不一样的)

[attach]2739[/attach]

[attach]2740[/attach]

[attach]2741[/attach]

[attach]2742[/attach]
   

001.jpg (48 KB)

001.jpg

002.jpg (47 KB)

002.jpg

003.jpg (79 KB)

003.jpg

004.jpg (91 KB)

004.jpg

TOP

Rank: 8Rank: 8Rank: 8Rank: 8Rank: 8Rank: 8Rank: 8Rank: 8

沙发
发表于 2012-10-21 15:22 | 只看该作者
李氏西门宗谱

[attach]2743[/attach]

[attach]2744[/attach]

[attach]2745[/attach]

[attach]2746[/attach]

005.jpg (71 KB)

005.jpg

006.jpg (56 KB)

006.jpg

007.jpg (49 KB)

007.jpg

008.jpg (47 KB)

008.jpg

TOP

大力广泛收集广西各地姓氏的族谱文化资料,by-www.gzpwh.com |联系我们

GMT+8, 2025-12-14 08:47, Processed in 0.056418 second(s), 9 queries.

Powered by Discuz! X1

© 2001-2010 Comsenz Inc.