注册 |登录

广西族谱文化网gzpwh.com畅谈族谱文化李氏族谱资料区 › 查看主题

10141

查看

3

回复
返回列表

超级版主

广西族谱文化网

Rank: 8Rank: 8Rank: 8Rank: 8Rank: 8Rank: 8Rank: 8Rank: 8

go

斟灌李氏十世祖李鋐的有关图文资料

楼主
发表于 2012-7-10 23:34 | 只看该作者 | 倒序看帖 | 打印
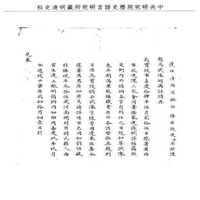
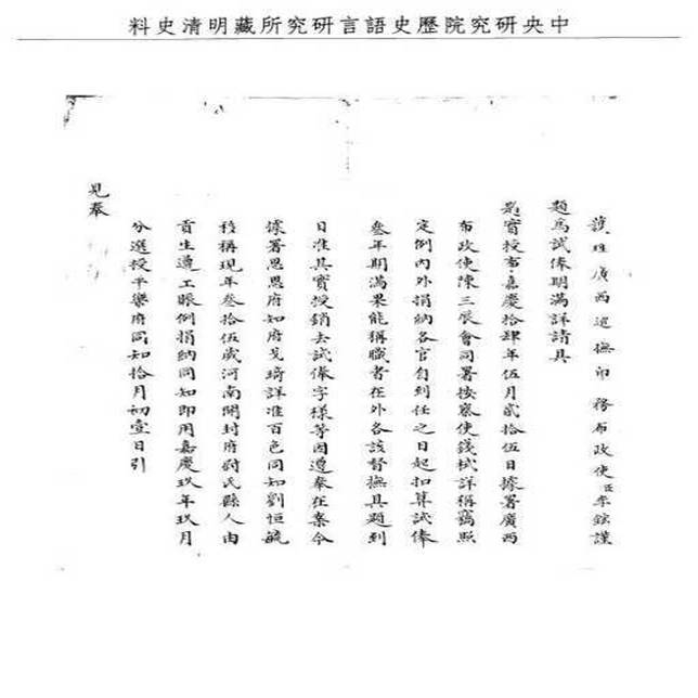
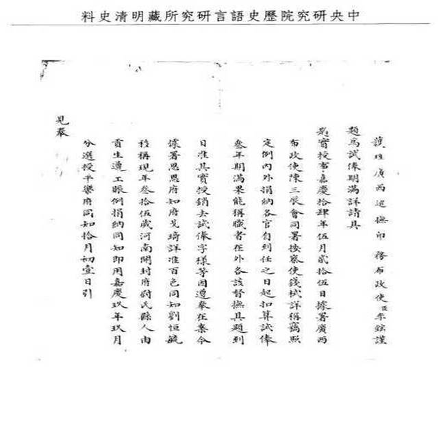
一、移會稽察房奉上諭四川夔州府知府員缺著李鋐補授、責任日期:乾隆54年6月?日、責任日期:乾隆54年6月  日、責任者:吏部、數量:1
[attach]2539[/attach]

[attach]2540[/attach]  

二、戶部為署理四川總督奏沉銅全獲事、事由:移會稽察房署理四川總督印務孫士毅奏貴州委員領運甲辰年下運乙巳年上運楚鉛赴湖北漢口售賣在川省萬縣黑虎磧灘遇風沉溺現夔州府知府李鋐等全數撈獲請准議敘、責任日期:乾隆57年1月、責任者:戶部、典藏沿革:內閣檔庫、數量:1、語文:chi-漢文、版本:原件、典藏沿革:內閣檔庫、保存狀況:整
[attach]2541[/attach]

[attach]2542[/attach]  

三、移會稽察房署理四川總督印務孫士毅奏報滇省銅舡至巫山縣大磨灘遭風沉溺請旨將護送不慎之夔州府知府李鋐巫山縣知縣邊見龍交部議處、責任日期:乾隆57年8月19日、責任者:戶部、數量:1
[attach]2543[/attach]

[attach]2544[/attach]  

01.jpg (28 KB)

01.jpg

2.jpg (23 KB)

2.jpg

3.jpg (33 KB)

3.jpg

4.jpg (44 KB)

4.jpg

5.jpg (55 KB)

5.jpg

6.jpg (51 KB)

6.jpg

TOP

超级版主

广西族谱文化网

Rank: 8Rank: 8Rank: 8Rank: 8Rank: 8Rank: 8Rank: 8Rank: 8

沙发
发表于 2012-7-10 23:35 | 只看该作者
四、為安岳縣民向仁元具報伊地界內無名男子被勒身死失去屍衣兇犯脫逃題參疏防文職川北兵備道李鋐潼川知府  ?   慶  及安岳縣典史王繼志等、責任日期:嘉慶9年5月25日、責任者:勒保(四川總督管巡撫事)、數量:1
[attach]2545[/attach]

[attach]2546[/attach]  

五、吏部為奉諭福建布政使著景安調補等由、事由:移會稽察房奉上諭福建布政使員缺著景安調補所遺陝西布政使員缺著朱勳補授所遺陝西按察使員缺著敦柱補授山西按察使員缺著李鋐補授、責任日期:嘉慶10年6月、責任者:吏部、典藏沿革:內閣檔庫、數量:1、語文:chi-漢文、版本:原件、典藏沿革:內閣檔庫、保存狀況:整
[attach]2547[/attach]

[attach]2548[/attach]  

六、題報署縣試用期滿稱職請准實授、事由:題報署縣試用期滿稱職請准實授、責任日期:嘉慶14年5月25日、責任者:李鋐(護理廣西巡撫)、數量:1
[attach]2549[/attach]

[attach]2550[/attach]

7.jpg (29 KB)

7.jpg

8.jpg (22 KB)

8.jpg

9.jpg (36 KB)

9.jpg

10.jpg (20 KB)

10.jpg

11.jpg (34 KB)

11.jpg

12.jpg (23 KB)

12.jpg

TOP

超级版主

广西族谱文化网

Rank: 8Rank: 8Rank: 8Rank: 8Rank: 8Rank: 8Rank: 8Rank: 8

板凳
发表于 2012-7-10 23:43 | 只看该作者
七、題報同知試俸期滿稱職請准實授、事由:題報同知試俸期滿稱職請准實授、責任日期:嘉慶14年6月9日、責任者:李鋐(護理廣西巡撫)、數量:1
[attach]2551[/attach]

[attach]2552[/attach]  

八、題報前曾被參州官欠銀全完請准開復、責任日期:嘉慶14年6月9日、責任者:李鋐(護理廣西巡撫)、數量:1
[attach]2553[/attach]

[attach]2554[/attach]  

九、題請以委用知州陳讜署理象州知州鮑振飛陞補太平府龍州同知所遺內地腹俸專衝簡缺、責任日期:嘉慶14年6月9日、責任者:李鋐(護理廣西巡撫印務布政使)、數量:1
[attach]2555[/attach]

[attach]2556[/attach]

13.jpg (34 KB)

13.jpg

14.jpg (22 KB)

14.jpg

15.jpg (35 KB)

15.jpg

16.jpg (21 KB)

16.jpg

17.jpg (29 KB)

17.jpg

18.jpg (15 KB)

18.jpg

TOP

超级版主

广西族谱文化网

Rank: 8Rank: 8Rank: 8Rank: 8Rank: 8Rank: 8Rank: 8Rank: 8

地板
发表于 2012-7-10 23:46 | 只看该作者
十、題報接護撫篆日期、事由:題報接護撫篆日期、責任日期:嘉慶14年12月21日、責任者:李鋐(護理廣西巡撫)、數量:1
[attach]2557[/attach]

[attach]2558[/attach]  

十一、吏部為李鋐奉諭留京以三品京堂補用等由、事由:移會稽察房奉上諭本日召見廣西布政使李鋐據稱寔年六十八歲現患目疾著留京以三品京堂補用其所戴花翎係因軍功賞給仍著戴用、責任日期:嘉慶15年5月、責任者:吏部、典藏沿革:內閣檔庫、數量:1、語文:chi-漢文、版本:原件、典藏沿革:內閣檔庫、保存狀況:整
[attach]2559[/attach]

[attach]2560[/attach]  

十二、為隨州鄉民蕭宏發家被盜撞門入室劫去錢文衣物題參疏防文職隨州唐縣鎮州判王維球德安府知府李世治漢黃德道郭善任等、責任日期:嘉慶16年9月5日、責任者:張映漢(湖北巡撫)、數量:1
[attach]2561[/attach]

[attach]2562[/attach]

19.jpg (34 KB)

19.jpg

20.jpg (19 KB)

20.jpg

21.jpg (30 KB)

21.jpg

22.jpg (17 KB)

22.jpg

23.jpg (27 KB)

23.jpg

24.jpg (18 KB)

24.jpg

TOP

大力广泛收集广西各地姓氏的族谱文化资料,by-www.gzpwh.com |联系我们

GMT+8, 2026-5-28 04:35, Processed in 0.053664 second(s), 9 queries.

Powered by Discuz! X1

© 2001-2010 Comsenz Inc.