注册 |登录

广西族谱文化网gzpwh.com畅谈族谱文化李氏族谱资料区 › 查看主题

3848

查看

1

回复
返回列表

超级版主

广西族谱文化网

Rank: 8Rank: 8Rank: 8Rank: 8Rank: 8Rank: 8Rank: 8Rank: 8

go

云步李氏宗谱(部分)

楼主
发表于 2017-2-5 12:15 | 只看该作者 | 倒序看帖 | 打印
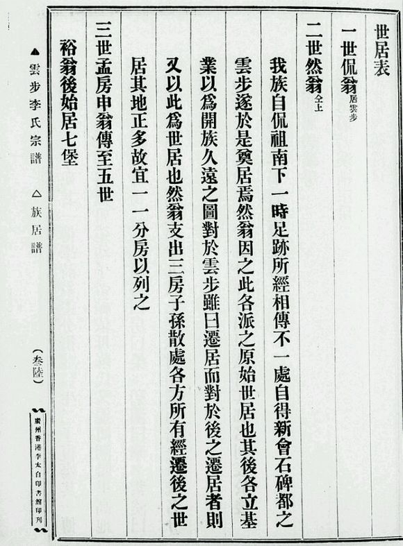
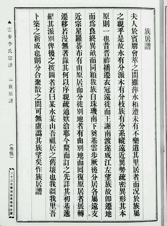
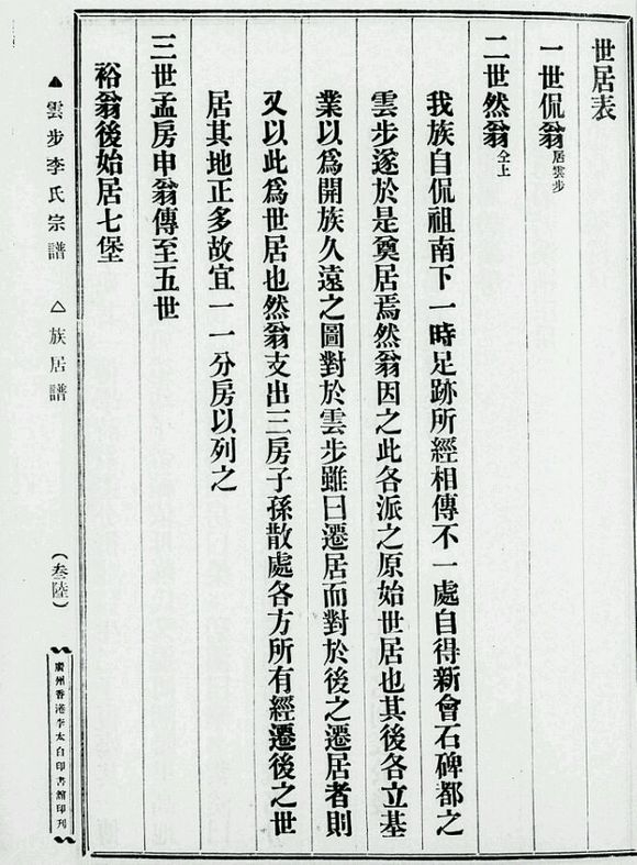
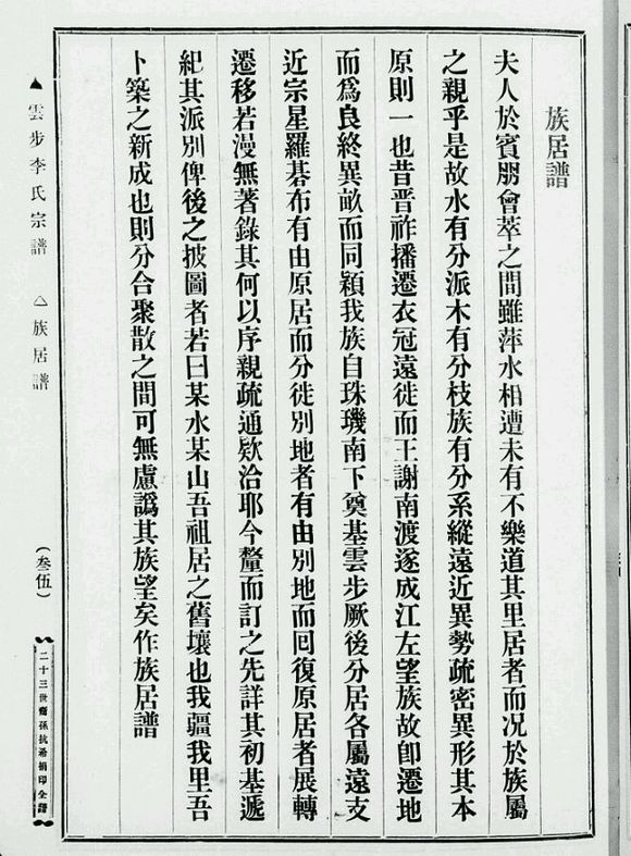
云步李氏宗谱(部分),谨供各宗亲研究之用。

[attach]6784[/attach]

[attach]6785[/attach]

[attach]6786[/attach]

[attach]6787[/attach]

[attach]6788[/attach]
   

001.jpg (87 KB)

001.jpg

002.jpg (92 KB)

002.jpg

003.jpg (119 KB)

003.jpg

004.jpg (101 KB)

004.jpg

005.jpg (95 KB)

005.jpg

TOP

超级版主

广西族谱文化网

Rank: 8Rank: 8Rank: 8Rank: 8Rank: 8Rank: 8Rank: 8Rank: 8

沙发
发表于 2017-2-5 12:16 | 只看该作者
[attach]6789[/attach]

[attach]6790[/attach]

[attach]6791[/attach]

[attach]6792[/attach]

[attach]6793[/attach]

006.jpg (93 KB)

006.jpg

007.jpg (81 KB)

007.jpg

008.jpg (96 KB)

008.jpg

009.jpg (121 KB)

009.jpg

010.jpg (117 KB)

010.jpg

TOP

大力广泛收集广西各地姓氏的族谱文化资料,by-www.gzpwh.com |联系我们

GMT+8, 2026-5-26 14:21, Processed in 0.035401 second(s), 9 queries.

Powered by Discuz! X1

© 2001-2010 Comsenz Inc.