注册 |登录

广西族谱文化网gzpwh.com畅谈族谱文化李氏族谱资料区 › 查看主题

7119

查看

5

回复
返回列表

Rank: 6Rank: 6Rank: 6Rank: 6Rank: 6Rank: 6

go

几份李氏火德公旧谱资料收集

楼主
发表于 2015-6-5 22:09 | 只看该作者 | 正序看帖 | 打印
广东五华(长乐)李氏旧谱载:
一、火德公生于966年。
二、1火德-2坤培-3义(于1074年移居福建清流县四保里上寮)。
三、1火德-2坤培-3义-4萼藩-5德生-6春华-7锭-8庭芝-9五生-10尧用-11成宗-12桢(于1393年为锭公第一次编谱并写了序言)。
四、1火德-2坤培-3义(四六郎)-4萼藩(千八郎)-5德生(念三郎)-6春华(万三郎)-7敏(百八郎)-8上达(念三十六郎,生1246年)。
五、1火德-2坤培-3义-4萼藩-5德生-6春华-7敏-8上达-9藩(生于1266年5月19)。
六、1火德-2坤培-3义-4萼藩-5德生-6春华-7敏-8上达-9藩-10致桢-11卯龙(1325年由揭西迁五华横流冷水湖,1327年迁锡坑)。
七、1火德-2坤培-3义-4萼藩-5德生-6春华-7敏-8上达-9藩-10致桢-11卯龙-12人美-13惟(于1377年8月20移五华长蒲约横岗)。
八、1火德-2坤培-3义-4萼藩-5德生-6春华-7敏-8上达-9藩-10致祥(生于1301年)。
九、1火德-2坤培-3义-4萼藩-5德生-6春华-7敏-8上达-9藩-10致祥-11子高(生1354年,留有遗嘱)。
十、1火德-2坤培-3义-4萼藩-5德生-6春华-7敏-8上达-9藩-10致祥-11子高-12得生(生于1403年)。
十一、1火德-2坤培-3义-4萼藩-5德生-6春华-7敏-8上达-9藩-10致祥-11子高-12宗贵(生于1405年)。
十二、1火德-2坤培-3义-4萼藩-5德生-6春华-7敏-8上达-9藩-10致祥-11子高-12得生-13实(1503年9月初8立有遗嘱)。
十三、1火德-2坤培-3义-4萼藩-5德生-6春华-7敏-8上达-9藩-10致祥-11子高-12得生-13荩-14希贤-15世亨(1513年贡广西思恩府照磨,升浔州府通判)。
十四、1火德-2坤培-3义-4萼藩-5德生-6春华-7敏-8上达-9藩-10致祥-11子高-12得生-13通(1466年贡入大学,官任 福建长泰县事正堂)。
十五、1火德-2坤培-3义-4萼藩-5德生-6春华-7敏-8上达-9藩-10致祥-11子高-12得生-13幼-14富先-15 曰巽(公上系连续几代处幼房幼子,生于1526年,1582年重修了族谱)。
十六、1火德1-2坤培-3义-4萼藩-5德生-6春华-7敏-8上达-9翱-10秀兴-11子荣-12文敬-13冕-14崇高(1375年迁湖广省,后裔再迁四川)
十七、1火德-2坤培-3义-4萼藩-5德生-6春华-7敏-8上达-9翱(高)-10秀兴-11子贵-12文通(1416年移居五华县周江白石嶂背七层坊)。
十八、1火德-2坤培-3义-4萼藩-5德生-6春华-7敏-8上达-9翱-10秀林-11德进(公即称满妹,为长乐县衙役,因酒后 误殴死七都驿承问成军罪,1395年充惠州卫军籍。也有谱记满妹是德贯属误)。小注:明朝七都驿,清朝七都围,今五华县水寨镇七都村。
十九、1火德-2坤培-3义-4萼藩-5德生-6春华-7敏-8上达-9翱-10秀昌-11子茂(1408年移居五华县周江蓝布玉茶)。

TOP

Rank: 6Rank: 6Rank: 6Rank: 6Rank: 6Rank: 6

6#
发表于 2015-6-5 22:16 | 只看该作者
[s:28]  [s:28] 认为旧谱更有研究价值

TOP

Rank: 6Rank: 6Rank: 6Rank: 6Rank: 6Rank: 6

5#
发表于 2015-6-5 22:15 | 只看该作者
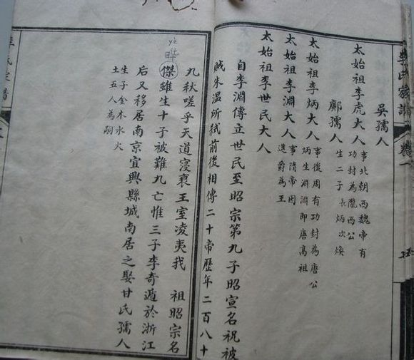
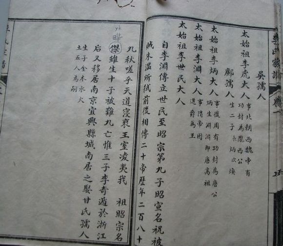
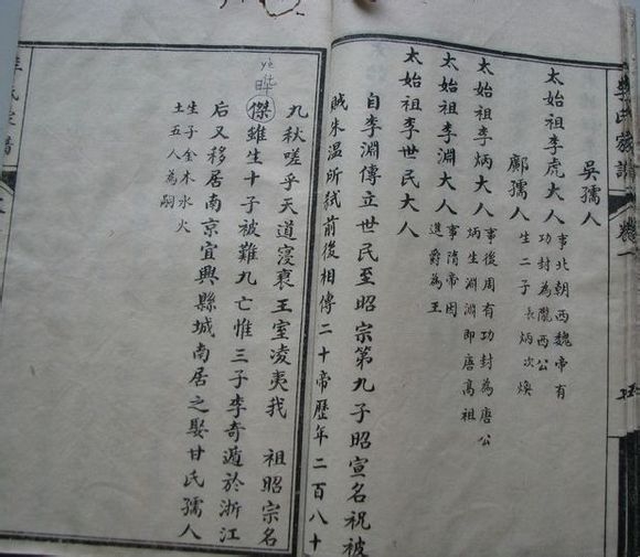
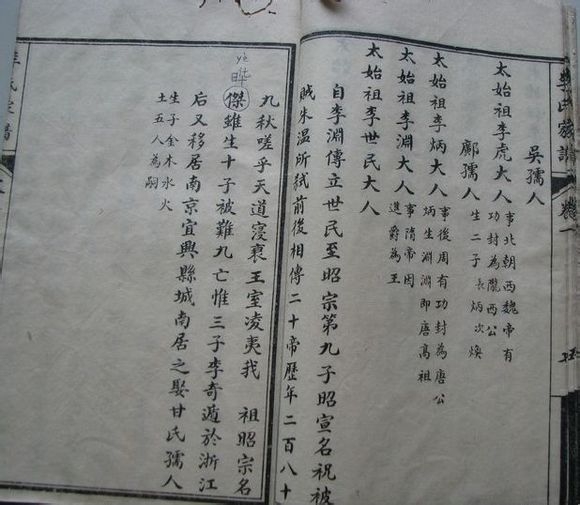
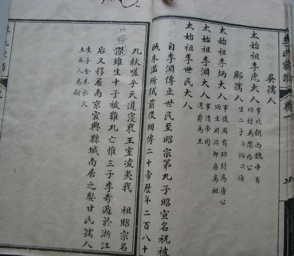
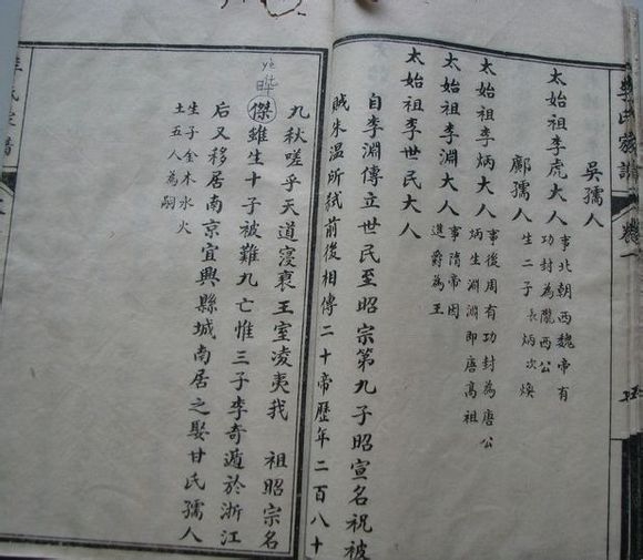
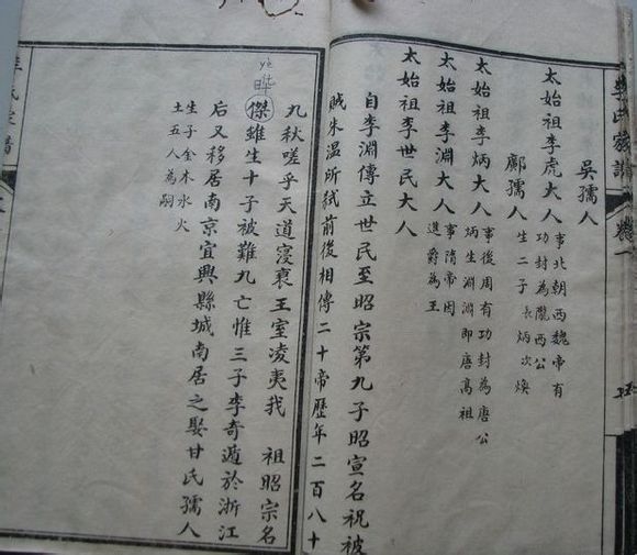
[attach]5894[/attach]

[attach]5895[/attach]

[attach]5896[/attach]

01.jpg (59 KB)

广东五华李氏旧谱

01.jpg

02.jpg (68 KB)

广东五华李氏旧谱

02.jpg

03.jpg (60 KB)

广东五华李氏旧谱

03.jpg

TOP

Rank: 6Rank: 6Rank: 6Rank: 6Rank: 6Rank: 6

地板
发表于 2015-6-5 22:13 | 只看该作者
[attach]5892[/attach]

[attach]5893[/attach]

04.jpg (61 KB)

清朝李氏火德公旧谱

04.jpg

05.jpg (58 KB)

清朝李氏火德公旧谱

05.jpg

TOP

Rank: 6Rank: 6Rank: 6Rank: 6Rank: 6Rank: 6

板凳
发表于 2015-6-5 22:12 | 只看该作者
[attach]5889[/attach]

[attach]5890[/attach]

[attach]5891[/attach]

01.jpg (52 KB)

五华清朝乾隆年间旧谱

01.jpg

02.jpg (71 KB)

五华清朝乾隆年间旧谱

02.jpg

03.jpg (56 KB)

五华清朝乾隆年间旧谱

03.jpg

TOP

Rank: 6Rank: 6Rank: 6Rank: 6Rank: 6Rank: 6

沙发
发表于 2015-6-5 22:10 | 只看该作者
[attach]5887[/attach]

[attach]5888[/attach]

01.jpg (50 KB)

五华明朝旧谱编于1582年

01.jpg

02.jpg (73 KB)

五华明朝旧谱编于1582年

02.jpg

TOP

大力广泛收集广西各地姓氏的族谱文化资料,by-www.gzpwh.com |联系我们

GMT+8, 2026-5-27 07:29, Processed in 0.057266 second(s), 9 queries.

Powered by Discuz! X1

© 2001-2010 Comsenz Inc.